- Uygulamalar Android
- Programlar üzerinde Android
- Ofis Programları
- Graphing Calculator by Mathlab
Graphing Calculator by Mathlab

İşletim Sistemi
Android
Kategori
Ofis Programları
Geliştirici
Dil
İngilizce
Güncelleme tarihi
26 November 2013
Mathlab tarafından Grafik Hesap Makinesi – Mathlab.us geliştiricisinden Android için harika bir uygulama, matematikte yardıma ihtiyaç duyanlar için oldukça faydalı olacaktır. Bu uygulama şunları içerir: bilimsel ve grafik hesap makinesi, ayrıca tablo fonksiyonu.
Özellikler:
- Bilimsel hesap makinesi
- Aritmetik ifadeler, +, -, *, / (/ her iki kesir ve bölme için)
- Karekök, küp ve daha yüksek kuvvetler
- Üslü sayılar, logaritmalar (LN, loglar)
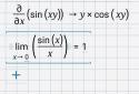
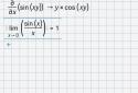
- Sinüs / 2, kosinüs 30 ° gibi trigonometrik fonksiyonlar...
- Hiperbolik fonksiyonlar: sinüs, kosinüs, tanjant, ...
- Ters fonksiyonlar
- Kompleks sayılar, tüm fonksiyonlar karmaşık argümanları destekler
- Sinüs türevi x '= kosinüs x, ...
- Kesirler 1/2 + 1/3 = 5/6, karışık değerleri girmek için boşluk kullanımı, örneğin 3 1/2
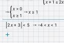
- Doğrusal denklemler x + 1 = 2 -> x = 1
- Kare denklemler x ^ 2 - 1 = 0 -> x = -1, 1
- Daha yüksek polinomların yaklaşık kökleri
- Doğrusal denklem sistemleri, bir denklemi bir çizgide yazma imkanı (x1 + x2 = 1, x1, x2 = 2)
- Polinomların bölümü
- Matriks ve vektör işlemleri, skalar çarpım, vektör çarpımı, determinant, ters, normal, transpoze...
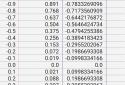
- Grafik hesap makinesi
- Birçok fonksiyon
- İkincil dereceden örtük fonksiyonlar (elips 2x ^ 2 + 3y ^ 2 = 1, vb.)
- Kutupsal grafikler (g = cos2)
- Grafikte köklerin ve kritik noktaların kullanılma fonksiyonu
- Grafiği kaydırma ve boyutlandırma
- Fonksiyon değerlerini ve eğimleri takip etme
- Yatay konumda tam ekran grafik
- Grafikleri resim olarak kaydetme
- Tablo fonksiyonu
- Birçok fonksiyon
- Kaydırma ve boyutlandırma
- Ayarlanabilir hassasiyet ve adım
- Tabloları CSV formatında kaydetme.
Uygulama değerlendirmesi
Editör değerlendirmesi
1 kullanıcı değerlendirmesi
8
Gereksinimler ile v2.3.64
- İşletim Sistemi Sürümü: Android 2.1+
İndir uygulamaGraphing Calculator by Mathlab
v2.3.64 Orijinal
Favorilere ekleGüncellemeleri abone olGüncelleme
isteği
isteği























![[forgotten] How much is your life worth](https://pdalife.tr/photo/th_maxresdefault-1-_13.jpg)







Yorumlar ile Graphing Calculator by Mathlab üzerinde Android
Yorum bırakmak için,
lütfen giriş yapın.